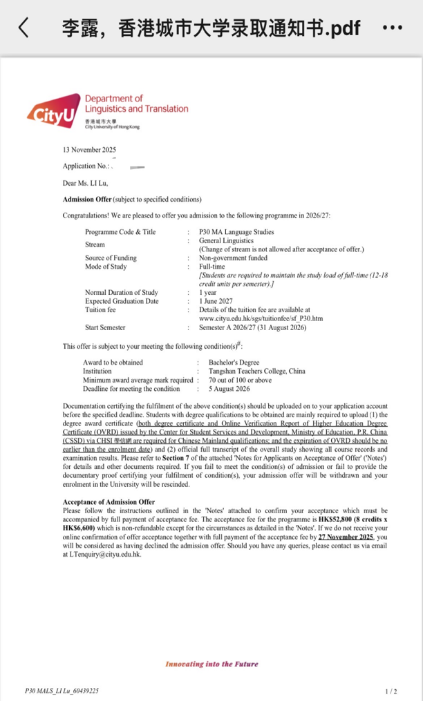
我校外国语学院2022级英语专业学生李露成功获得香港城市大学的研究生录取通知书。该生成为学院2026届毕业生中首位成功申请至香港地区知名高校的学生,是其个人学业生涯的重要突破,也为学院国际化人才培养提供了有益案例。
在升学规划初期,李露同学在面对多种选择时,展现了冷静地思考和主动规划的意识。她没有盲目跟从主流,而是在综合评估自身情况后,将赴港深造确定为目标。在学院的指导支持下,她系统调研了港澳高校的招生政策与培养特色,最终将学科实力突出、注重实践能力且契合粤港澳大湾区发展需求的香港城市大学作为理想选择
在申请准备过程中,李露注重提升个人综合竞争力。她利用寒暑假积极参与多项与专业相关的实习实践,逐步积累了宝贵的经验。在撰写申请材料时,她深入研究了目标专业的课程设置,并有意识地将实践经历与学术兴趣相结合,清晰地展现了自身的成长轨迹与未来规划
面对语言门槛,她针对薄弱环节制定了详细的雅思备考计划,多次刷新考试成绩,最终以雅思7分的理想成绩通过申请要求。
李露同学的成功录取,是外国语学院近年来持续强化学风建设、注重学生个性化成长规划的结果。学院通过举办留学经验分享会、提供一对一咨询等方式,着力拓宽学生的升学视野,引导其进行理性选择和早做准备
希望全院学子能以李露同学为榜样,尽早明确发展目标,合理规划大学生涯,脚踏实地,奋发进取,不断取得新的进步。



